Anak Panah Dikaitkan Pada Tali





Pembahasan Soal Un Fisika Sma 2018 No 17 Youtube

Pembahasan Soal Un Fisika Sma 2018 No 17 Youtube

Contoh Pembahasan Un Fisika Sma 2018 Youtube

Contoh Pembahasan Un Fisika Sma 2018 Youtube

Contoh Pembahasan Un Fisika Sma 2018 Youtube

Contoh Pembahasan Un Fisika Sma 2018 Youtube

Soal Dan Pembahasan Unbk Fisika 2018 No 16 No 20 Ayo Sekolah

Soal Dan Pembahasan Unbk Fisika 2018 No 16 No 20 Ayo Sekolah

Soal Dan Pembahasan Un Fisika Sma Tahun 2018 16 20 Epanrita Com

Soal Dan Pembahasan Un Fisika Sma Tahun 2018 16 20 Epanrita Com

Anak Panah Dikaitkan Pada Tali Busur Kemudian Ditarol Ke Belakang

Anak Panah Dikaitkan Pada Tali Busur Kemudian Ditarol Ke Belakang

Anak Panah Dikaitkan Pada Tali Busur Kemudian Ditarol Ke Belakang

Soal Dan Pembahasan Un Fisika 2018 No 16 25 Fisika

Soal Dan Pembahasan Un Fisika 2018 No 16 25 Fisika

Anak Panah Dikaitkan Pada Tali Busur Kemudian Ditarik Ke Belakang

Anak Panah Dikaitkan Pada Tali Busur Kemudian Ditarik Ke Belakang

Soal Dan Pembahasan Un Fisika Sma Tahun 2018 16 20 Epanrita Com

Soal Dan Pembahasan Un Fisika Sma Tahun 2018 16 20 Epanrita Com

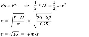
Hubungan Energi Pegas Dan Energi Kinetik Pembahasan Soal Un

Hubungan Energi Pegas Dan Energi Kinetik Pembahasan Soal Un

Busur Panah Wikipedia Bahasa Indonesia Ensiklopedia Bebas

Busur Panah Wikipedia Bahasa Indonesia Ensiklopedia Bebas

Soal Dan Pembahasan Un Fisika Sma Tahun 2018 16 20 Epanrita Com

Soal Dan Pembahasan Un Fisika Sma Tahun 2018 16 20 Epanrita Com

Fisika Fikiran Siap Kacau Penting Isi Blog Setelah Sosialize

Fisika Fikiran Siap Kacau Penting Isi Blog Setelah Sosialize

Pembahasan Soal Un Fisika Sma 2018 No 17 Youtube

Pembahasan Soal Un Fisika Sma 2018 No 17 Youtube

Soal Dan Pembahasan Un Fisika Sma Tahun 2018 16 20 Epanrita Com

Soal Dan Pembahasan Un Fisika Sma Tahun 2018 16 20 Epanrita Com

Soal Dan Pembahasan Un Fisika Sma Tahun 2018 16 20 Epanrita Com

Soal Dan Pembahasan Un Fisika Sma Tahun 2018 16 20 Epanrita Com

Fisika Gaya Pegas Youtube

Fisika Gaya Pegas Youtube

Wadi Al Ghazali Archery Club Waac Stadium Arena Sports

Wadi Al Ghazali Archery Club Waac Stadium Arena Sports

Soal Dan Pembahasan Un Fisika Sma Tahun 2018 16 20 Epanrita Com

Soal Dan Pembahasan Un Fisika Sma Tahun 2018 16 20 Epanrita Com

Tergamam Anak Panah Melekat Pada Pintu Kereta Kes Berita Harian

Tergamam Anak Panah Melekat Pada Pintu Kereta Kes Berita Harian